Bạn đang xem bài viết Hóa 11 Bài 5: Một số hợp chất quan trọng của nitrogen Giải bài tập Hóa 11 Cánh diều trang 30, 31, 32, 33, 34, 35,36, 37, 38 tại Puto.edu.vnbạn có thể truy cập nhanh thông tin cần thiết tại phần mục lục bài viết phía dưới.
Giải Hoá 11 Bài 5: Một số hợp chất quan trọng của nitrogenlà tài liệu vô cùng hữu ích, giúp các em học sinh lớp 11 có thêm nhiều gợi ý tham khảo, nhanh chóng trả lời toàn bộ câu hỏi trong sách Cánh diều trang 30, 31, 32, 33, 34, 35,36, 37, 38.
Soạn Hóa 11 Cánh diều Bài 5 được trình bày khoa học, chi tiết giúp các em rèn kỹ năng giải Hóa, so sánh đáp án vô cùng thuận tiện. Đồng thời đây cũng là tài liệu giúp quý thầy cô tham khảo để soạn giáo án cho riêng mình. Vậy sau đây là giải Hóa 11Một số hợp chất quan trọng của nitrogen Cánh diều, mời các bạn cùng theo dõi tại đây.
Trả lời câu hỏi vận dụng Hóa 11 Bài 5
Vận dụng 1 trang 33
Để giảm sốt hoặc giảm đau, người ta có thể dùng túi chườm lạnh chứa hoá chất. Hãy tìm hiểu về loại túi chườm lạnh này. Từ đó:
a) Cho biết các chất thường được sử dụng trong túi chườm lạnh.
b) Giải thích nguyên nhân giúp túi chườm lạnh có nhiệt độ thấp.
Gợi ý đáp án
a) Các chất thường được sử dụng trong túi chườm lạnh: nước, muối ammonium (như NH4Cl).
b) Muối ammonium (ví dụ NH4Cl rắn) khi hòa vào nước cất sẽ xảy ra quá trình:
NH4Cl (s) → NH4Cl (aq)
Quá trình này thu nhiệt, được ứng dụng rộng rãi trong việc sản xuất các túi chườm, giúp giảm đau, giảm viêm do các chấn thương.
Túi chườm hoạt động khi phá vỡ lớp ngăn cách giữa muối ammonium chloride và nước cất.
Vận dụng 2 trang 36
Nhiều loài thuỷ hải sản được nuôi trong hồ, ao, “vuông” (cách gọi của người miền Tây Nam bộ về khu vực ruộng được khoanh vùng, cải tạo để nuôi thuỷ hải sản),…
Để hạn chế nguy cơ xảy ra hiện tượng phú dưỡng trong hồ, ao, vuông … người nuôi thuỷ, hải sản nên làm gì? Giải thích?
Gợi ý đáp án
Để hạn chế nguy cơ xảy ra hiện tượng phú dưỡng trong hồ, ao, vuông … người nuôi thuỷ, hải sản nên:
+ Tạo điều kiện để nước trong hồ, ao, vuông … được lưu thông.
+ Lắp đặt thiết bị sục khí để khuấy trộn bề mặt ao và giúp giải phóng các loại khí như CO2.
+ Thường xuyên sử dụng chế phẩm vi sinh để tăng vi sinh có lợi cho hồ, ao, vuông …
Vận dụng 3 trang 37
Hãy tìm hiểu tình trạng phú dưỡng tại địa phương em. Từ đó, đề xuất biện pháp hạn chế hiện tượng này
Gợi ý đáp án
Hiện nay, địa phương em đẩy mạnh xây dựng các khu công nghiệp, do đó hiện tượng phú dưỡng tại các ao, hồ … xuất hiện ngày càng nhiều, chủ yếu là do việc thải nước thải chưa qua xử lí ra môi trường.
Một số biện pháp đề xuất để hạn chế hiện tượng này:
– Xử lí nước thải trước khi đổ vào ao, hồ….Tuyên truyền toàn dân chung sức ngăn chặn hành vi xả thải trái phép chưa qua xử lí ra môi trường. Báo cáo chính quyền xử lí khi thấy hiện tượng xả thải trái phép ra môi trường.
– Trồng một số thực vật thuỷ sinh phù hợp với môi trường phú dưỡng: bèo tây, ngổ trâu, cải xoong … Trồng thực vật thủy sinh cũng sẽ làm giảm mức độ dinh dưỡng trong nước ao, hồ và do đó không khuyến khích sự nhân lên của thực vật phù du.
– Lắp đặt các hệ thống sục khí ở các ao, hồ lớn … bị xả thải…
Giải bài tập Hóa 11 trang 38
Bài tập 1 trang 38
Vì sao nói ammonia có vai trò rất quan trọng đối với nông nghiệp? Cho ví dụ minh hoạ.
Gợi ý đáp án
Gần đây, mỗi năm có khoảng hàng trăm triệu tấn ammonia được sản xuất trên toàn cầu. Trong đó, có khoảng 80% được sử dụng để sản xuất phân đạm ammonium, urea … để cung cấp nguyên tố nitrogen cho đất và cây trồng. Ví dụ phản ứng dưới đây dùng để tổng hợp ra phân bón với thành phần chính là ammonium sulfate:
2NH3(aq) + H2SO4(aq) → (NH4)2SO4(aq)
Vì thế có thể nói ammonia có vai trò rất quan trọng đối với nông nghiệp.
Bài tập 2 trang 38
Biến thiên enthalpy chuẩn của phản ứng tổng hợp ammonia từ nitrogen và hydrogen có giá trị âm nhưng vì sao quá trình Haber lại chọn nhiệt độ phản ứng khá cao, vào khoảng 400 oC – 600 oC?
Gợi ý đáp án
![]()
(triangle _{r} H_{298}^{0})= −91,8kJ<0 phản ứng thuận toả nhiệt. Tuy nhiên, khi thực hiện phản ứng ở nhiệt độ quá thấp thì tốc độ của phản ứng nhỏ, phản ứng diễn ra chậm. Thực tế, người ta đã chọn nhiệt độ phù hợp, khoảng 400 oC – 600 oC.
Bài tập 3 trang 38
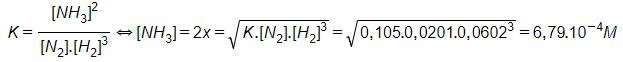
Ở 472 °C, hằng số cân bằng của phản ứng tổng hợp ammonia từ nitrogen và hydrogen theo quá trình Haber là K = 0,105. Giả sử, kết quả phân tích cho thấy tại thời điểm cân bằng, nồng độ của nitrogen và hydrogen trong buồng phản ứng lần lượt là 0,0201 M và 0,0602 M.
a) Hãy tính nồng độ mol của ammonia có trong buồng phản ứng tại thời điểm cân bằng.
b) Làm thế nào để tách được ammonia ra khỏi hỗn hợp?
Gợi ý đáp án
![]()
Ban đầu: a b 0 M
Phản ứng: x 3x 2x M
Cân bằng: 0,0201 0,0602 2x M
Áp dụng công thức có:

b) Tại thời điểm cân bằng, nồng độ ammonia, nitrogen và hydrogen trong buồng phản ứng là không đổi. Khi đó hỗn hợp khí này được dẫn qua hệ thống làm lạnh để hoá lỏng ammonia và tách ra khỏi hỗn hợp.
Bài tập 4 trang 38
Quá trình đốt cháy nhiên liệu trong ô tô sinh ra nhiều khí như SO2, CO, NO. Từ năm 1975, người ta thiết kế “bộ chuyển đổi xúc tác” trong hệ thống xả khí của ô tô (và cả trong máy phát điện) nhằm tạo điều kiện thuận lợi cho phản ứng:
2CO(g) + 2NO(g) → 2CO2(g) +N2(g)
a) Cho biết ý nghĩa của phản ứng trên đối với môi trường.
b) Trong phản ứng trên, chất nào là chất oxi hoá, chất nào là chất khử? Giải thích.
c) Giá trị enthalpy tạo thành chuẩn của CO(g), NO(g), CO2(g) lần lượt là –110,5; 91,3; –393,5 (kJ mol-1). Hãy tính biến thiên enthalpy chuẩn của phản ứng trên. Phản ứng trên có thuận lợi về mặt năng lượng không? Giải thích.
Gợi ý đáp án
a) Ý nghĩa của phản ứng: 2CO(g) + 2NO(g) → 2CO2(g) + N2(g) đối với môi trường là giảm khí độc CO, giảm tác nhân gây mưa acid NO phát sinh từ quá trình đốt cháy nhiên liệu.
b) 2C+2Og + 2N+2Og → 2C+4O2g +N02g
Số oxi hoá của carbon tăng từ +2 lên +4 sau phản ứng nên CO đóng vai trò là chất khử.
Số oxi hoá của nitrogen giảm từ +2 xuống 0 sau phản ứng nên NO đóng vai trò là chất oxi hoá.
c)
(triangle _{r}H_{298}^{0}=2.triangle _{f}H_{298}^{0})(CO2(g)) +
(triangle _{f}H_{298}^{0})(N2(g)) − 2.
(triangle _{f}H_{298}^{0})(CO(g)) − 2.
(triangle _{f}H_{298}^{0})(NO(g))
= 2. (-393,5) + 0 – 2.(-110,5) – 2.91,3 = -748,6 (kJ) < 0.
Vậy phản ứng này toả nhiệt, thuận lợi về mặt năng lượng.
Bài tập 5 trang 38
Viết sơ đồ phản ứng gây ra mưa chứa nitric acid và sulfuric acid.
Gợi ý đáp án
– Sơ đồ phản ứng gây ra mưa chứa nitric acid:

Các phương trình hoá học minh hoạ cho sơ đồ:
N2(g) + O2(g)
(overset{t^{0} }{rightleftharpoons}) 2NO(g)
2NO(g) + O2(g) → 2NO2(g)
4NO2(g) + 2H2O(l) + O2(g) → 4HNO3(aq)
HNO3 → H+ + NO3–
– Sơ đồ phản ứng gây ra mưa chứa sulfuric acid:

Các phương trình hoá học minh hoạ cho sơ đồ:
SO2 + H2O → H2SO3

SO3 + H2O → H2SO4.
Bài tập 6 trang 38
Hãy tìm hiểu, chỉ ra các hoạt động tạo thành các khí gây mưa acid tại địa phương em. Đề xuất một số biện pháp giảm thiểu sự tạo thành các khí đó.
Gợi ý đáp án
– Một số hoạt động tạo thành các khí gây mưa acid tại địa phương em: khí thải của phương tiện giao thông; khí thải của nhà máy chưa qua xử lí ra môi trường; khí thải do đốt rác, đốt than …
– Một số biện pháp giảm thiểu sự tạo thành các khí này:
+ Tăng cường sử dụng xe đạp, phương tiện công cộng thay cho các phương tiện động cơ cá nhân như ô tô, xe máy …
+ Tăng cường sử dụng các nguồn năng lượng mới, năng lượng sạch, năng lượng tái tạo;
+ Sử dụng tiết kiệm, hiệu quả nguồn tài nguyên thiên nhiên;
+ Cải tiến công nghệ sản xuất, có biện pháp xử lí khí thải và tái chế các sản phẩm phụ có chứa sulfur.
Cảm ơn bạn đã xem bài viết Hóa 11 Bài 5: Một số hợp chất quan trọng của nitrogen Giải bài tập Hóa 11 Cánh diều trang 30, 31, 32, 33, 34, 35,36, 37, 38 tại Puto.edu.vnbạn có thể bình luận, xem thêm các bài viết liên quan ở phía dưới và mong rằng sẽ giúp ích cho bạn những thông tin thú vị.


