KHTN 9: Bài tập Chủ đề 9 Giải KHTN 9 Cánh diều trang 144

Bạn đang xem bài viết KHTN 9: Bài tập Chủ đề 9 Giải KHTN 9 Cánh diều trang 144 tại Puto.edu.vnbạn có thể truy cập nhanh thông tin cần thiết tại phần mục lục bài viết phía dưới.

Giải bài tập KHTN 9 Bài tập Chủ đề 9 giúp các em học sinh trả lời các câu hỏi trong SGK Khoa học tự nhiên 9 Cánh diều trang 144.

Giải Khoa học tự nhiên 9 Bài tập Chủ đề 9 được biên soạn bám sát theo chương trình SGK. Đồng thời, cũng giúp thầy cô tham khảo để soạn giáo án Bài tập Chủ đề 9: Lipid – Carbohydrate – Protein – Polymer – Phần 2: Chất và sự biến đổi của chất cho học sinh của mình. Vậy mời thầy cô và các em cùng theo dõi nội dung chi tiết trong bài viết dưới đây của Thcslytutrongst.edu.vn:

Bài 1

Khi để một đoạn mía lâu ngày trong không khí, thấy đầu đoạn mía thường có mùi của ethylic alcohol. Giải thích hiện tượng trên.

Trả lời:

Đoạn đầu cây mía tiếp xúc trực tiếp với không khí, trong không khí có thể có một số vi khuẩn giúp phân hủy dần saccharose thành glucose, sau đó lên men glucose thành ethylic alcohol. Do vậy, lâu ngày đoạn đầu mía thường có mùi của ethylic alcohol.

Bài 2

Có ba chất rắn: tinh bột, cellulose, saccharose. Nêu cách phân biệt ba chất trên.

Trả lời:

– Lấy mẫu thử và đánh số thứ tự tương ứng.

– Cho các mẫu thử vào trong cốc thủy tinh, rồi cho thêm nước (nước nguội) và quấy đều.

  • Cốc nào chất rắn tan hết thì đó là saccharose.
  • Cốc nào không tan là tinh bột và cellulose.

– Nhỏ 1 giọt iodine vào 2 cốc thủy tinh còn lại

  • Cốc nào xuất hiện màu xanh tím là tinh bột.
  • Cốc nào không xuất hiện màu xanh tím là cellulose.

Bài 3

Quá trình sản xuất ethylic alcohol từ tinh bột có thể biểu diễn theo sơ đồ:

KHTN 9: Bài tập Chủ đề 9 Giải KHTN 9 Cánh diều trang 144

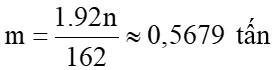
Biết hiệu suất chung của quá trình trên là 50%. Viết phương trình hóa học của các phản ứng theo sơ đồ trên. Tính khối lượng ethylic alcohol thu được từ 1 tấn tinh bột.

Trả lời:

Phương trình hóa học:

Bài tập Chủ đề 9

Ta có:

Bài tập Chủ đề 9

Khối lượng ethylic alcohol thu được là:

Bài tập Chủ đề 9

Bài 4

Khi cho chanh hoặc giấm vào sữa tươi và sữa đậu nành thấy có kết tủa xuất hiện. Giải thích.

Trả lời:

Khi cho chanh hoặc giấm (chứa acid hữu cơ) vào sữa tươi hoặc sữa đậu nành (chứa protein) thì thấy xuất hiện kết tủa do xảy ra sự đông tụ của protein trong môi trường acid.

Bài 5

Viết phương trình hóa học của phản ứng trùng hợp để điều chế Bài tập Chủ đề 9polystyrene và trùng hợp CF2 = CF2 để điều chế poly(tetrafloroethylene).

Cảm ơn bạn đã xem bài viết KHTN 9: Bài tập Chủ đề 9 Giải KHTN 9 Cánh diều trang 144 tại Puto.edu.vnbạn có thể bình luận, xem thêm các bài viết liên quan ở phía dưới và mong rằng sẽ giúp ích cho bạn những thông tin thú vị.